Optic Neuritis Treatment Trial
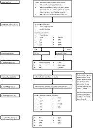
Optic neuritis treatment trial. Prior to the Optic Neuritis Treatment Trial ONTT well-established guidelines for treating optic neuritis did not exist. Prognostic concerns in patients with optic neuritis are visual recovery recurrence of optic neuritis and risk of multiple sclerosis MS. OPTIC NEURITIS TREATMENT TRIAL ONTT Enrolled 457 patients between July 1988 to June 1991.
Although corticosteroids had been used to treat this disease studies to demonstrate their effectiveness had not been satisfactory. The Optic Neuritis Treatment Trial ONTT was an investigator-initiated multi-centered randomized controlled clinical trial supported by cooperative agreements and grants. Author Nancy J Newman.
The Optic Neuritis Treatment Trial ONTT which has been following a cohort of patients with acute unilateral optic neuritis since 1988 is over. Optic neuritis treatment trial. Beck RW Cleary PA Trobe JD Kaufman DI Kupersmith MJ Paty DW Brown CH.
The visual benefit from treating acute optic neuritis with intravenous followed by oral corticosteroids is short. Many of the clinical findings of ON come from the Optic Neuritis Treatment Trial ONTT 1 a multi-institutional study of 454 patients with acute unilateral ON carried out between 1988 and 1991. 90 percent have 2040 or better vision at one year.
7864737 PubMed - indexed for MEDLINE Publication Types. The Optic Neuritis Treatment Trial. Optic Neuritis Treatment Trial - A months worth of pills is available from wholesalers for less than 20.
The Optic Neuritis Treatment Trial ONTT has had a highly significant impact on the practices of ophthalmology and neurology. Beck RW Cleary PA. The release of 15-year follow-up data this spring mar.
Improvement can continue over many months. The Optic Neuritis Treatment Trial Ophthalmology.
Optic Neuritis drug therapy.
7864737 PubMed - indexed for MEDLINE Publication Types. Although corticosteroids had been used to treat this disease studies to demonstrate their effectiveness had not been satisfactory. Optic neuritis treatment trial Best Quality and. The Optic Neuritis Study Group. It was designed to evaluate the efficacy and safety of oral prednisone or intravenous methylprednisolone followed by oral prednisone as compared with oral placebo. Recovery of vision Without treatment vision begins to improve after a few weeks 5. The Optic Neuritis Treatment Trial ONTT which has been following a cohort of patients with acute unilateral optic neuritis since 1988 is over. Optic neuritis treatment trial. The release of 15-year follow-up data this spring mar.
Recovery of vision Without treatment vision begins to improve after a few weeks 5. The Optic Neuritis Treatment Trial ONTT was an investigator-initiated multi-centered randomized controlled clinical trial supported by cooperative agreements and grants. Optic Neuritis Treatment Trial - A months worth of pills is available from wholesalers for less than 20. Recovery of vision Without treatment vision begins to improve after a few weeks 5. Author Nancy J Newman. Improvement can continue over many months. OPTIC NEURITIS TREATMENT TRIAL ONTT Enrolled 457 patients between July 1988 to June 1991.



Posting Komentar untuk "Optic Neuritis Treatment Trial"